このサイトではJavaScriptを使用したコンテンツ・機能を提供しています。JavaScriptを有効にするとご利用いただけます。
本文へスキップします。
鹿児島県
閉じる
サイト内検索
かごしまサイトナビ
トップ
お探しのページへご案内します! 下の つから探したい情報、もしくは検索方法をお選びください。
手続き・申請の検索項目を表示しました。 探したい項目を選んでください。
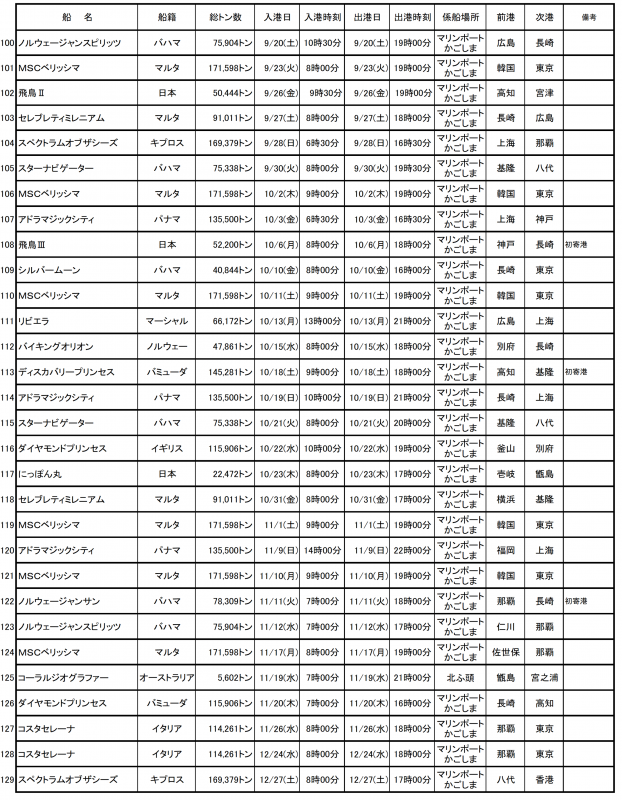
ホーム > 社会基盤 > 港湾・空港 > 県内の港湾 > 観光客船の入港状況(鹿児島港) > 観光客船の入港予定・実績(鹿児島港:令和7年)
更新日:2025年11月7日
ここから本文です。
【令和7年1月~12月】(令和7年11月7日現在)
(注)入港が確定したものを掲載していますが,入出港日時,岸壁等は天候や運行スケジュールなどの事情により,変更されることがあります。
令和7年鹿児島港寄港予定表(PDF:82KB)
よくあるご質問
よくある質問一覧ページへ
このページに関するお問い合わせ
土木部港湾空港課
電話番号:099-286-3636
より良いウェブサイトにするためにみなさまのご意見をお聞かせください
1:役に立った
2:ふつう
3:役に立たなかった
1:見つけやすかった
3:見つけにくかった
観光客船の入港状況(鹿児島港)